SUPERCONDUCTIVITY COMMUNICATIONS, Vol.22, No.2 April, 2013
鉄系超伝導:レアアースの使用量大幅削減に成功! _岡山大_
岡山大学大学院自然科学研究科の工藤一貴助教、伊庭恵太大学院生、野原実教授らの研究チームは、レアアース ( 希土類元素 ) の使用量を大幅に削減した鉄系超伝導物質の開発に成功した。 2008 年に東京工業大学の細野秀雄教授らが最初に発見した鉄系超伝導物質を改良したもので、地表に大量に存在する安価なカルシウムと鉄、ヒ素、リンを主成分とする物質に、レアアースの中でも最も安価なランタンを僅かに添加した。超伝導転移温度は絶対温度 45 K で、 122 型と呼ばれる鉄系基本物質の転移温度の最高値 38 K を 5 年ぶりに更新することにもなった。この成果は、英国 Nature Publishing Group の電子ジャーナル Scientific Reports 誌に掲載された [1] 。
超伝導物質は電気抵抗がゼロのため、損失なく大量の電流を流すことができる。この性質を利用して、強力な磁力を発生する超伝導電磁石を作ることができ、既に医療用 MRI ( 磁気共鳴画像検査装置 ) などで実用化されている。 JR 東海の超伝導リニアにも用いられる。しかしながら、実用化されている超伝導材料 ( ニオブ・チタン合金など ) は、高価な液体ヘリウムを用いて絶対温度 4.2 K まで冷却する必要がある。日本にはヘリウム資源がなく、米国で産出される天然ガスに僅かに含まれるヘリウムを輸入しているが、近年、輸入量が大幅に減少している。今後、エネルギー供給が天然ガスからシェールガス ( さらに将来は海底のメタンハイドレート ) へ移行していくに伴い、ヘリウムの産出量は、さらに減少すると考えられる。このため超伝導の本格的な実用化のためには、冷却にヘリウムが不要な、高い温度で超伝導へ転移する材料の実用化が急務である。
鉄系超伝導体は、化合物中に含まれる基本元素の比率を用いて 1111 型や 122 型のように分類される。例えば、 4 つの基本元素、 La 、 Fe 、 As 、 O を 1 : 1 : 1 : 1 の割合で含む物質 ( LaFeAsO など ) は 1111 型である。一方、 3 つの基本元素を 1 : 2 : 2 の割合で含む物質 ( BaFe 2 As 2 など ) は 122 型である。鉄系超伝導体のなかでは、 1111 型が最も高い温度 ( 56 K ) で超伝導に転移する。しかし、 1111 型で高い超伝導転移温度を得るには、 La の代わりに、 Sm や Gd などの高価な希土類元素 ( レアアース ) を用いる必要がある。また 1111 型は異方性が大きく、超伝導線材への応用は不向きである。一方 122 型は異方性が小さく、線材応用の有望株であるが、転移温度が最高で 38 K ( Ba 0.6 K 0.4 Fe 2 As 2 において ) に限られていた。
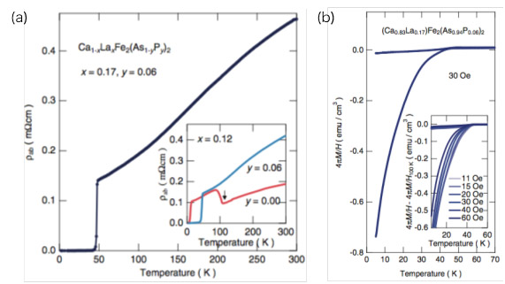
今回、岡山大が発表した物質は 122 型の仲間で、 CaFe 2 As 2 において、 Ca の一部 ( 17% ) を La で、 As の一部 ( 6% ) を P で置換することで 122 型における最高の超伝導転移温度 45 K を樹立した。従来の物質開発では、例えば Ca 1-x La x Fe 2 As 2 のように、一種類の化学種 ( この場合は La ) のドープ量を調整して超伝導特性の最適化が行われてきた。岡山大の研究は、 La と P の 2 つの化学種を同時にドープ ( 共ドープ ) した点に特徴がある。 Ca 2+ と La 3+ は価数がひとつ違うが、イオン半径はほとんど同じである。このため、 La ドープでは結晶構造のパラメータを一定に保ちつつ、キャリア数を制御することができる。一方で As 3- と価数が同じだがイオン半径の小さい P 3- のドープでは、電子数を保ちつつ、結晶構造のパラメータを制御することができる。役割の異なる 2 つの化学種を共ドープすることで 122 型を最高の T c にチューニングできたと言える。
研究チームを率いる野原実教授は「鉄系超伝導体では、超伝導面にある FeAs 4 四面体の形が正四面体に近づくと超伝導転移温度が高くなるという経験則があります。今回の化合物の FeAs 4 は正四面体から大きく歪んでいるので、ドープする化学種を工夫して正四面体に近づけれは、鉄系全体の T c の最高値 56 K を超える可能性があります。」とコメントしている。
今回発表された物質は、超伝導転移温度と価格の両面において、鉄系超伝導物質の実用化につながる成果といえる。臨界電流密度の測定など、今後の展開が期待される。 ( BLC )
参考文献
[1] K. Kudo, K. Iba, M. Takasuga, Y. Kitahama, J. Matsumura, M. Danura, Y. Nogami, and M. Nohara, “Emergence of superconductivity at 45 K by lanthanum and phosphorus co-doping of CaFe 2 As 2 ”, Scientific Reports 3, 1478 (2013). [DOI: 10.1038/srep01478]

図 1 La と P を共ドープした CaFe 2 As 2 の (a) 電気抵抗率と (b) 反磁性磁化。電気抵抗率は 48 K で急激に低下しはじめ 45 K でゼロ抵抗を示す。反磁性磁化はバルク超伝導といえる大きな負の値を示す。