SUPERCONDUCTIVITY COMMUNICATIONS, Vol.20, No2, June, 2011
高臨界電流特性をもつ鉄系 (Ba,K)Fe 2 As 2 線材を開発 _物質・材料研究機
新たに発見された鉄系超伝導体は高い臨界温度 T c と極めて高い上部臨界磁界 H c 2 を有するため、液体ヘリウムあるいは冷凍機冷却による強磁場発生用の線材として応用が期待されている。そのため、 PIT (Powder-In-Tube) 法などにより線材化が試みられているが、測定される輸送臨界電流密度 J c はまだ実用レベルには及ばず、 J c 向上のための努力が続けられているところである。最近、物質・材料研究機構のグループが 122 系の PIT 線材で、 自己磁場中、 4.2 K の輸送 J c が 10 4 A/cm 2 ( I c = 60.7 A) を越える今までにない高い値を報告して注目された [1] 。
鉄系超伝導体の線材化をいち早く試みたのは、中国科学院の Ma 教授のグループである。主に 122 系の (Sr,K) Fe 2 As 2 、 1111 系の SmFeAsOF などを対象にして in-situ および ex-situ の PIT 法によって線材を試作し、今までに数多くの論文を発表してきた。しかし測定される輸送臨界電流密度 J c はまだ実用レベルにはほど遠く、 Pb 添加した (Sr,K)Fe 2 As 2 の J c = 3750 A/cm 2 ( I c = 37.5 A) ( 自己磁場中、 4.2 K) が、同グループが今までに報告した中で最も高い値である。一方、わが国では物質・材料研究機構が 科学技術振興機構の戦略的創造研究推進事業 (JST-TRIP) および日本学術振興会の最先端研究開発支援 (FIRST) プログラムの助成を受けて、 11 系および 122 系の鉄系超伝導体の PIT 法による線材化の研究に取り組んできた。今回の成果はこの一連の研究の中で得られたものであるという。
手法としては ex-situ PIT 法と呼ばれる予め準備した 122 相の前駆体 ( プレカーサー ) の粉末を、金属管に詰めて加工、熱処理する方法を採用している。注目されるのは、この 122 プレカーサーを合成するのに、同グループは粉末を使用せず Ba 、 K 、 FeAs 合金、 Ag の小片 ( チップ ) を用いていることである。 Ba 、 K が極めて活性であり、また As が有毒であることを考えると、粉末を用いないことは取り扱い上極めて有利といえる。これらの小片を BN るつぼに入れて SUS 管に封入し、高温 ( 〜 1100°C) で短時間の溶融反応を起こさせている。この方法によって十分均一な組織をもつ 122 相のバルク材料が得られるという。 Ag は中国科学院のグループと同様に結晶粒間の接合を改善する目的で添加している。次に、得られたバルク体を粉末にし、外径 6 mm 、内径 4 mm の銀管に封入して溝ロール、スウェージで線状 (2 mm 径 ) に加工し、さらに短尺試料を SUS 管に封入して焼結のための熱処理を 850°C 行っている。
図 1(a) は熱処理後の線材の光学顕微鏡断面組織である。銀被覆とコア部との間に特に反応した形跡は見られていない。図 1(b) の高倍率の観察ではコア部の組織は結晶粒径が 10-50 μm の (Ba,K)Fe 2 As 2 相をマトリックスとして、その中に Ag が分散した組織になっている。 Ag は 122 相の粒界に沿って析出し、また粒界に沿って空隙も数多く見られる。
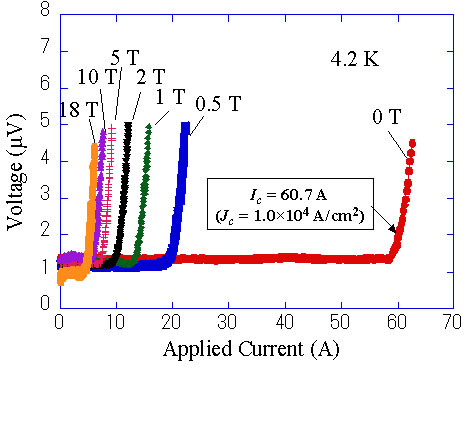
今回の実験では、 850°C で 30 時間熱処理した試料で最も優れた臨界電流特性が得られている。図 2 は 18 T のマグネット中で測定した 4.2 K における電圧―電流特性である。この曲線から Ag 被覆材とコア部間の電流のトランファーは問題なく、またシャープな遷移から長手方向の均一性はある程度保たれていることが分かる。この V - I 曲線から 1 μV/cm の基準で決めた臨界電流 I c は、自己磁場中で 60.7 A また 10 T の磁界中で 6.6 A である。これらの I c をコア部の 断面積で除して求めた輸送臨界電流密度 J c は自己磁場中で〜1.01 x 10 4 A/cm 2 、 10 T で〜1.1 x 10 3 A/cm 2 となる。これらの I c および J c は PIT 線材で今までに報告されたなかでは最も高い。やや停滞気味であった鉄系の線材化にとって、大きな前進といえる成果である。

図 1. Ag 被覆 (Ba,K)Fe 2 As 2 +0.5Ag 線材の横断面光学顕微鏡写真。
(a) 低倍率、 (b) 高倍率 ( コア部 )
図 2. 850°C × 30 h 熱処理した線材の電圧―電流 ( V-I ) 特性。

図 3. J c -H 特性。参考のため Nb-Ti 線材、 Nb 3 Sn 線材、 PIT-MgB 2 線材の代表的な特性と比較してある。
図 3 は、 J c - H 特性を従来の金属系線材と比較して示したものである。開発を担当している物質・材料研究機構の戸叶一正氏によると「まだ実用的には桁のオーダーで J c を改善していく必要がある。しかし、ボイドを多数含んだ理想的でない組織としては、良く流れたと思う。今後、ボイドをもっと減少させ緻密化することによって I c および J c をもっと大幅に改善できることを期待している。また、他の金属系線材と比べて H c 2 が高いことを反映してか高磁界まで磁界依存性が非常に小さいことが注目される。 J c を全体的に向上できれば高磁界で従来の金属系線材を凌ぐ特性を期待できる」とのことである。 ( makabochan)
[1] K.Togano, A. Matsumoto, and H. Kumakura, Appl. Phys. Express 4 (2011) 043101.
![]()