SUPERCONDUCTIVITY COMMUNICATIONS, Vol.19, No5, Octber, 2010
MgB 2 線材の高 J c 化に解決の糸口 _鹿児島大、物材 機構 、熊本大_
鹿児島 大学 、 物質 ・ 材料 研究 機構 、熊本 大学 の グループ は第 71 回応用 物理 学 会 学術 講演 会 ( 平成 22 年 9 月 14~17 日、長崎大学 ) で、 Al テープ上に 作製 した MgB 2 薄膜 において J c = 2.8×10 6 A/cm 2 ( @ 4.2 K 、 10 T) と非常に高いトランスポート J c が得られたと報告した。
MgB 2 は 金属 系 超 伝導 物質 の中で最も高い T c (39 K) を有し、 軽量 でまた 結晶 配向 を 必要 としないことなどから 線材 の 実用 化 が 期待 されている。これまでの 線材 開発 には Powder-In-Tube (PIT) 法が主として用いられてきた。しかしながら PIT 法で 作製 した MgB 2 線材では大多数の結晶粒界が超伝導電流をブロックしており、その結果トランスポート J c は不十分な値に留まっている。 MgB 2 結晶粒界をクリーンな状態にするために様々な手法が研究されているが現時点で決定的なものは登場していない。
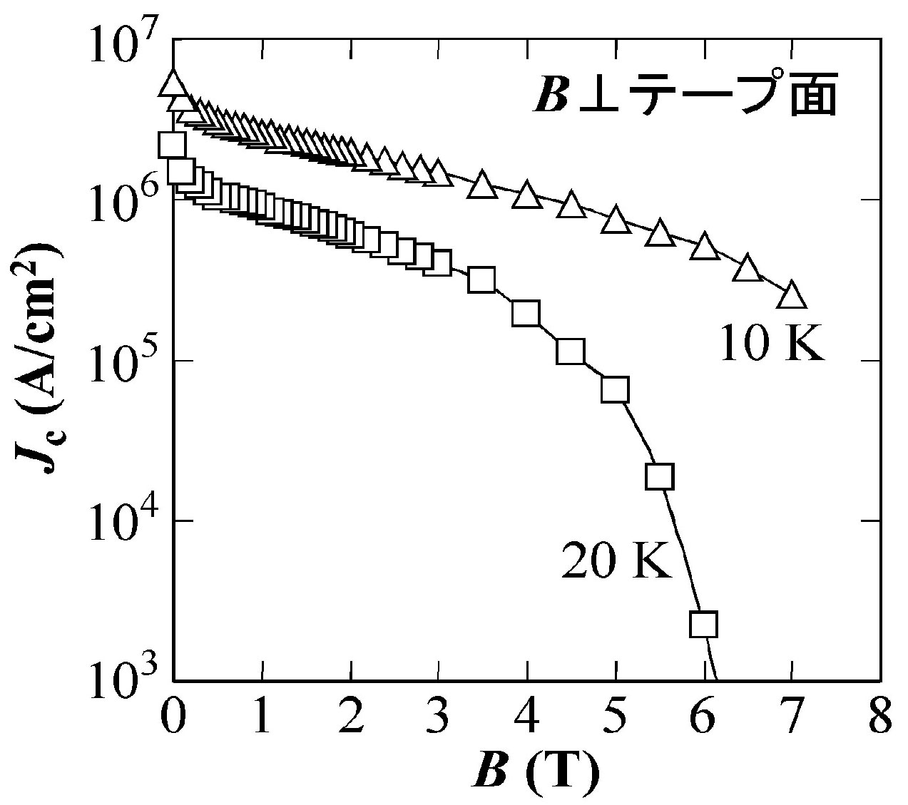
今回、鹿児島大学、物質・材料研究機構、熊本大学のグループは市販のアルミニウムテープ (6 mm×20 mm×0.1 mm t ) の上に、 電子 ビーム 蒸着 法を使って 厚さ 0.25 m m の MgB 2 薄膜 を 作製 した。 4.2 K 、自己磁場における I c は 70 A 、 J c は 4.8×10 6 A/cm 2 、テープ面に 平行 に 10 T の磁場が印加された状態の I c は 42 A 、 J c は 2.8×10 6 A/cm 2 と 非常 に高い値である。 印加 磁場 による I c ( J c ) 低下の割合が小さいように見えるが、これは大電流による電流導入端子部での発熱の影響で低磁場中の I c 値が低めに測定されていることに因るとの事である。また磁場がテープ面垂直に印加された場合、サンプルの機械的ダメージによるものと考えられる J c - B 曲線の全体的な低下がみられるものの、 10 T の磁場中でも J c は 1.5×10 6 A/cm 2 と高い値を 維持 している ( 図 1) 。また、 測定 電流 値を下げるために 試料 に パターン ニングを施し、 10 K と 20 K で行った測定では、自己磁場中の J c は 10 K で 5.3×10 6 A/cm 2 、 20 K で 2.2×10 6 A/cm 2 、 5 T 中では 7.5×10 5 A/cm 2 、 6.4×10 4 A/cm 2 と 非常 に高い値が得られている ( 図 2) 。
これらの結果は結晶粒界接合性の問題がクリアされれば非常に高い J c が得られることを示しており、 MgB 2 線材の高いポテンシャルが示されたと言える。今回、基材に使用されているアルミニウムテープには特殊な加工はされておらず、純度 99% の市販の無配向テープであるとのことである。純アルミニウムの電気抵抗は低温では銅と同程度に低く、安定化材として用いられることもある。 MgB 2 の大きな特徴である軽量性を考えると、アルミニウムとの組み合わせは理想的とも考えられる。
試料作製を担当した鹿児島大学の土井氏は、「今回、 220°C という低温で、バッファ層を用いることなく MgB 2 層を直接アルミニウムテープ上に形成した。 MgB 2 は配向させなくても良好な結晶粒界接合性を示すので成膜速度も非常に速くすることができる。今回は 20 mm 角の 領域 に 6 分で 0.25 m m 厚の MgB 2 薄膜 を 形成 したが、膜厚も成膜 速度 も更に上げることは 簡単 。ロスや 安定 性に 問題 がなければ、長尺のコートタイプ MgB 2 線材 の 製造 は 容易 ではないか。」と話している。 ( 森伊蔵 )
図 1 4.2 K で 測定 した I c 及び J c の 印加 磁場 依存 性

図 2 10 K 、 20 K における J c の印加磁場依存性